Saltar al contenido
    • DÓNDE ESTAMOS
    • 10:00 - 18:00
    • +54911 - 5552-9100
UTEUTE
  • Menú
    MENUMENU
    • Institucional
      • Historia de UTE
      • Comisión Directiva
      • Estatuto de la Entidad
      • Secretaría General
      • CTERA
      • CTA
      • La CTERA en la IE
      • Links
    • Noticias
    • Asesoramiento
      • Gremial y Sindical
      • CyMAT
      • Gestión Privada
      • Jubilados/as
      • GénerosMail: [email protected] Si en tu casa estás viviendo situaciones de violencia de género, comunicate  al: 911 – Urgencias Línea 144 – Asesoramiento, acompañamiento y contención Oficina de Violencia Doméstica – Denuncia y atención las 24 hs. (Lavalle 1250- 11-4123-4510) Comisaría más cercana – Denuncia Ministerio Público Fiscal – Denuncias y atención las 24 hs ([email protected]) WhatsApp de la Ciudad: 11-5050-0147   CENTROS  DE ATENCIÓN PARA   MUJERES  Es gratis, te atienden las 24 horas todos los días. 
      • Salud
      • Formación política
      • Cambio climático y desarrollo sustentable
    • Publicaciones
      • Normativas
      • Nomencladores
      • Pedagógicas y Sindicales
        • Apuntes gremiales
        • Apuntes Pedagógicos
          • Debates Educativos
          • Propuestas pedagógicas
        • Efemérides
        • Revistas
      • Congresos Pedagógicos
      • Varias
    • Medios
      • Los medios de UTE
      • UTE en los medios
    • Datos útiles
      • Grillas Salariales2019 Marzo grilla 2019 Junio 2019 Julio  2019 septiembre  Grilla Marzo 2020 (1)
      • Recibos de haberes
      • Puntaje
      • Licencias
      • Modelo de nota
      • ART
      • Impuesto a los Ingresos (ex Ganancias)
    • Galería
      • Imágenes
      • Videos
    • Niveles y Modalidades
      • Primaria
      • Técnica
      • Artística
      • Curricular
      • Socioeducativos
        • Programas
        • Documentos
        • Información de Junta
        • Noticias
      • Equipos de apoyo y servicios profesionales
      • Especial
      • Superior ENS-IES-IFTS
      • Educación Inicial
      • Secundaria
      • Jóvenes y adultos primaria/Cens
      • Bibliotecas Escolares
      • Juntas de Clasificación
      • Junta de Disciplina
      • EPVS
      • Universitarios

Archivos del Autor: gm

screenshot 2025 10 27 160707
Octubre 2025 – Grilla Salarial

screenshot 2025 10 07 111343
Grilla Salarial Septiembre 2025

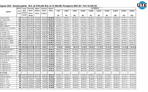
screenshot 2025 08 26 110836
Grilla Salarial Agosto 2025

whatsapp image 2025 07 17 at 09.52.54
Asignaciones Familiares Julio/Diciembre 2025

whatsapp image 2025 07 14 at 10.52.31
Listado Titulares Provisorios 2025/2026

untitled 1
Grilla Salarial Junio 2025

1
Consulta de recibos de haberes por internet

A Partir de este mes podremos consultar nuestros recibos de haberes a través de la [...]

untitled 3
Grilla Salarial Abril 2025

1
Secretaría de Educación Especial

screenshot 2025 04 16 160350
Grilla Salarial Abril 2025

  • 1
  • 2
  • 3
  • 4
  • …
  • 20

contacto

  • Podés contactarnos de Lunes a Viernes de 10 a 19 hs.:
  • (54) 5552-9100

O por mail: [email protected]

youtube

twitter

@utectera


Unión de Trabajadores de la Educación, CTERA Capital

Secretaria General
@mononagutierrez

comunicaciones

whatsapp image 2025 12 12 at 13.35.38
Imágenes del acto de egreso en la Cárcel de Devoto – Programa Contexto de Encierro – CENS 24
12
Dic
dsc 9550
Cierre de formación sindical 2025
12
Dic
© 2025 | Unión de Trabajadores de la Educación | Hecho con por grapics.net
  • Institucional
    • Historia de UTE
    • Comisión Directiva
    • Estatuto de la Entidad
    • Secretaría General
    • CTERA
    • CTA
    • La CTERA en la IE
    • Links
  • Noticias
  • Asesoramiento
    • Gremial y Sindical
    • CyMAT
    • Gestión Privada
    • Jubilados/as
    • Géneros
    • Salud
    • Formación política
    • Cambio climático y desarrollo sustentable
  • Publicaciones
    • Normativas
    • Nomencladores
    • Pedagógicas y Sindicales
      • Apuntes gremiales
      • Apuntes Pedagógicos
        • Debates Educativos
        • Propuestas pedagógicas
      • Efemérides
      • Revistas
    • Congresos Pedagógicos
    • Varias
  • Medios
    • Los medios de UTE
    • UTE en los medios
  • Datos útiles
    • Grillas Salariales
    • Recibos de haberes
    • Puntaje
    • Licencias
    • Modelo de nota
    • ART
    • Impuesto a los Ingresos (ex Ganancias)
  • Galería
    • Imágenes
    • Videos
  • Niveles y Modalidades
    • Primaria
    • Técnica
    • Artística
    • Curricular
    • Socioeducativos
      • Programas
      • Documentos
      • Información de Junta
      • Noticias
    • Equipos de apoyo y servicios profesionales
    • Especial
    • Superior ENS-IES-IFTS
    • Educación Inicial
    • Secundaria
    • Jóvenes y adultos primaria/Cens
    • Bibliotecas Escolares
    • Juntas de Clasificación
    • Junta de Disciplina
    • EPVS
    • Universitarios

Ejemplo

X