Ejemplo
Archivos de Categoría: Grillas Salariales
Grilla salarial octubre
2025 octubre
Grilla Salarial Septiembre
Descargar pdf
Grilla Salarial Septiembre
Descargar pdf
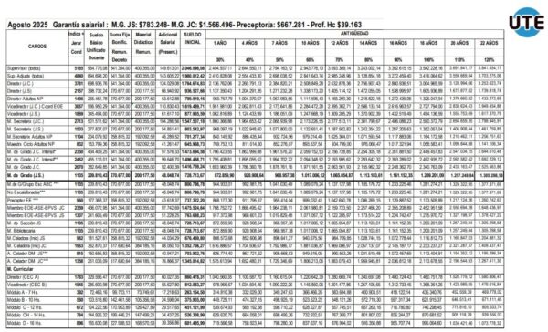
Grilla salarial agosto 2025
Descargar pdf
Grilla salarial junio 2025
Descargar pdf
Grilla Salarial Abril 2025
descarga aquí
Grilla salarial Abril 2025
descarga aquí
Grilla salarial febrero 2025
Descargar: Documento UTE- Grilla Salarial FEB
