Saltar al contenido
    • DÓNDE ESTAMOS
    • 10:00 - 18:00
    • +54911 - 5552-9100
UTEUTE
  • Menú
    MENUMENU
    • Institucional
      • Historia de UTE
      • Comisión Directiva
      • Estatuto de la Entidad
      • Secretaría General
      • CTERA
      • CTA
      • La CTERA en la IE
      • Links
    • Noticias
    • Asesoramiento
      • Gremial y Sindical
      • CyMAT
      • Gestión Privada
      • Jubilados/as
      • GénerosMail: [email protected] Si en tu casa estás viviendo situaciones de violencia de género, comunicate  al: 911 – Urgencias Línea 144 – Asesoramiento, acompañamiento y contención Oficina de Violencia Doméstica – Denuncia y atención las 24 hs. (Lavalle 1250- 11-4123-4510) Comisaría más cercana – Denuncia Ministerio Público Fiscal – Denuncias y atención las 24 hs ([email protected]) WhatsApp de la Ciudad: 11-5050-0147   CENTROS  DE ATENCIÓN PARA   MUJERES  Es gratis, te atienden las 24 horas todos los días. 
      • Salud
      • Formación política
      • Cambio climático y desarrollo sustentable
    • Publicaciones
      • Normativas
      • Nomencladores
      • Pedagógicas y Sindicales
        • Apuntes gremiales
        • Apuntes Pedagógicos
          • Debates Educativos
          • Propuestas pedagógicas
        • Efemérides
        • Revistas
      • Congresos Pedagógicos
      • Varias
    • Medios
      • Los medios de UTE
      • UTE en los medios
    • Datos útiles
      • Grillas Salariales2019 Marzo grilla 2019 Junio 2019 Julio  2019 septiembre  Grilla Marzo 2020 (1)
      • Recibos de haberes
      • Puntaje
      • Licencias
      • Modelo de nota
      • ART
      • Impuesto a los Ingresos (ex Ganancias)
    • Galería
      • Imágenes
      • Videos
    • Niveles y Modalidades
      • Primaria
      • Técnica
      • Artística
      • Curricular
      • Socioeducativos
        • Programas
        • Documentos
        • Información de Junta
        • Noticias
      • Equipos de apoyo y servicios profesionales
      • Especial
      • Superior ENS-IES-IFTS
      • Educación Inicial
      • Secundaria
      • Jóvenes y adultos primaria/Cens
      • Bibliotecas Escolares
      • Juntas de Clasificación
      • Junta de Disciplina
      • EPVS
      • Universitarios
Instructivo Huella de Asistencia
screenshot 2026 01 29 12.52.35 pm
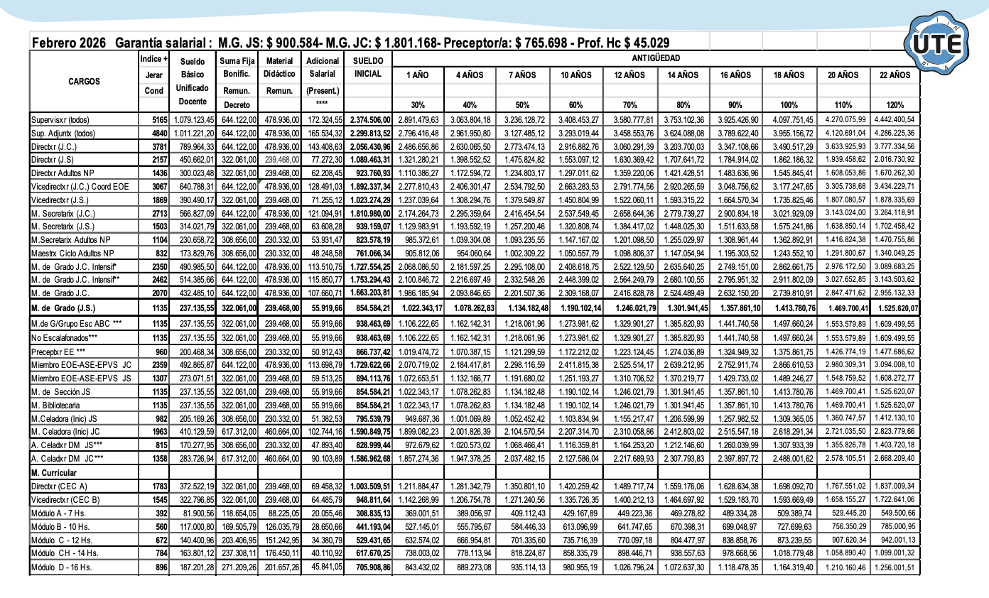
Enero 2026 – Grilla Salarial
untitled 1 recovered
Instructivo proporcional de vacaciones
screenshot 2025 12 17 170623
Diciembre 2025 – Grilla Salarial
screenshot 2025 10 27 160707
Octubre 2025 – Grilla Salarial
screenshot 2025 10 07 111343
Grilla Salarial Septiembre 2025
whatsapp image 2025 09 22 at 10.48.48
Grilla Salarial Septiembre
ll
Grilla Salarial Agosto 2025
screenshot 2025 08 26 110836
Grilla Salarial Agosto 2025
whatsapp image 2025 07 17 at 09.52.54
Asignaciones Familiares Julio/Diciembre 2025
whatsapp image 2025 07 14 at 10.52.31
Listado Titulares Provisorios 2025/2026
untitled 1
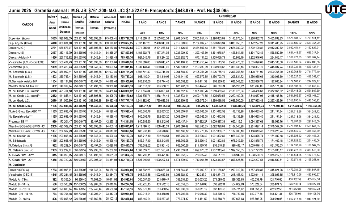
Grilla Salarial Junio 2025
1
Consulta de recibos de haberes por internet
untitled 3
Grilla Salarial Abril 2025
screenshot 2025 04 16 160350
Grilla Salarial Abril 2025
whatsapp image 2025 04 07 at 15.48.24
Grilla salarial febrero 2025
whatsapp image 2025 03 27 at 14.19.31
Licencias especiales y extraordinarias
1
Instructivo Notificaciones T.A.D
whatsapp image 2025 02 17 at 16.52.09 (1)
COBRO DE SUELDOS 2025
afiche a3 ute asignaciones familiares
ASIGNACIONES FAMILIARES VALORES ENERO/JUNIO 2025
whatsapp image 2025 02 18 at 14.32.58
CRONOGRAMA 2025 ACTOS PÚBLICOS
screenshot 2025 03 05 131615
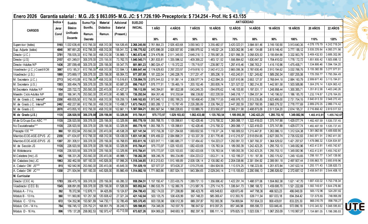
2025 Febrero UTE

contacto

  • Podés contactarnos de Lunes a Viernes de 10 a 19 hs.:
  • (54) 5552-9100

O por mail: [email protected]

youtube

twitter

@utectera


Unión de Trabajadores de la Educación, CTERA Capital

Secretaria General
@mononagutierrez

comunicaciones

20260211 131806
Paro y Movilización contra la reforma laboral
11
Feb
Instructivo Huella de Asistencia
10
Feb
© 2026 | Unión de Trabajadores de la Educación | Hecho con por grapics.net
  • Institucional
    • Historia de UTE
    • Comisión Directiva
    • Estatuto de la Entidad
    • Secretaría General
    • CTERA
    • CTA
    • La CTERA en la IE
    • Links
  • Noticias
  • Asesoramiento
    • Gremial y Sindical
    • CyMAT
    • Gestión Privada
    • Jubilados/as
    • Géneros
    • Salud
    • Formación política
    • Cambio climático y desarrollo sustentable
  • Publicaciones
    • Normativas
    • Nomencladores
    • Pedagógicas y Sindicales
      • Apuntes gremiales
      • Apuntes Pedagógicos
        • Debates Educativos
        • Propuestas pedagógicas
      • Efemérides
      • Revistas
    • Congresos Pedagógicos
    • Varias
  • Medios
    • Los medios de UTE
    • UTE en los medios
  • Datos útiles
    • Grillas Salariales
    • Recibos de haberes
    • Puntaje
    • Licencias
    • Modelo de nota
    • ART
    • Impuesto a los Ingresos (ex Ganancias)
  • Galería
    • Imágenes
    • Videos
  • Niveles y Modalidades
    • Primaria
    • Técnica
    • Artística
    • Curricular
    • Socioeducativos
      • Programas
      • Documentos
      • Información de Junta
      • Noticias
    • Equipos de apoyo y servicios profesionales
    • Especial
    • Superior ENS-IES-IFTS
    • Educación Inicial
    • Secundaria
    • Jóvenes y adultos primaria/Cens
    • Bibliotecas Escolares
    • Juntas de Clasificación
    • Junta de Disciplina
    • EPVS
    • Universitarios

Ejemplo

X