Ejemplo
Archivos de Categoría: Febrero 2026
Infraestructura escolar
PUNTOS PRINCIPALES DEL PROTOCOLO DE ESCUELA EN OBRA Descargar aquí
Hasta siempre querida Tere
Con profundo dolor, despedimos físicamente y recordamos a nuestra querida compañera Teresa, «Seño Tere» para [...]
Trabajo sano y seguro
Descargar manual
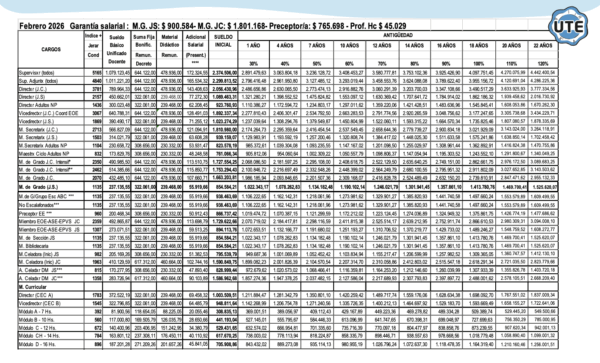
Grilla salarial – febrero 2026
Descargar grilla febrero
